比物理学不存在更恐怖的,是圆周率丨Happy Pi Day

科普中国
公众科普,科学传播。
收藏

《三体》中,杨冬在自杀前,恐惧地自问:

“大自然,真是自然的吗?”

你,觉得呢?

再思考一遍

这个问题

恐惧了吗

...

1

举派求婚日

这是我见过,最独特的求婚。

今天,3月14日。

数学系某男生,突然单膝跪地,深情款款地望向女友,从背后掏出了...

...苹果派?

VCG41N516185850.jpg

图库版权图片,不授权转载

我仔细看了看,发现这份苹果派,是一个很完美的三角形切片,而它的俯视图,和下面这个式子的轮廓完美重合:

图片

我恍然大悟,原来,他的求婚是这个含义。

如果你对这个式子有些陌生,那我们不妨把这份切片复位:

VCG41N626697482.jpg

图库版权图片,不授权转载

现在,它的外形是不是很像一个圆?

假设烘焙的是迷你派,直径只有1厘米,那它的周长,就会成为今日的最大主角:

π。

还记得小时候,数学老师要求你背诵的圆周率口诀吗?

3.141592653..

就在今天。

3.14,国际圆周率日。

你即将意识到:

这串数字背后,

囊括了,

整个宇宙。

2

专治各种不服

记忆中,高考临近的五月,大家都变得躁动。

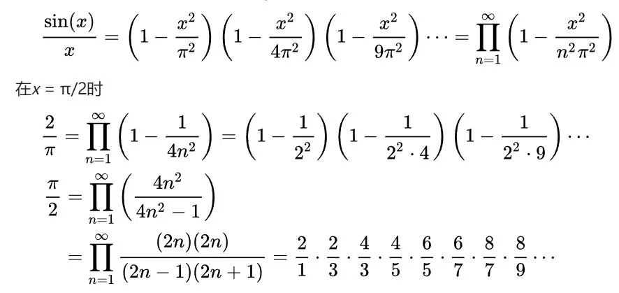
某天,数学老师在黑板上写下这个式子:

图片

“强调过多少次了,大题要有完整的计算过程,结果呢?喜欢只写答案是吧?行,谁能告诉我,这个式子的答案是多少?”

教室,鸦雀无声。

老师用讲尺敲了敲黑板,“连π都认不出来,你们有什么好嘚瑟的?”

后来,在大学微积分课上,我才知道,这个是约翰·沃利斯在1655年发现的沃利斯乘积,是欧洲第二个发现的无穷项圆周率公式

图片

沃利斯乘积简易证明过程

难怪当年我们都答不上来了!

降维打击,赤裸裸的降维打击啊。

不过,我觉得,数学老师的这一招,值得学习!

下次,你想试探对方深浅的时候,还可以问问下面这个式子的值是多少:

图片

如果对方沉默了,你就语重心长地说:“连π都不认识,你还是多读点书吧。

毕竟,这是π的莱布尼茨公式,只要项次足够多,总和一定会慢慢接近π。

图片

虽然,这个数列的收敛速度很慢,要到500,000项之后,才能精确到π的第五小数...

但不管怎么说,π,专治各种不服!

3

无限不循环

让我们来重温一道小学数学题:

请移动一根火柴棒,使得下方等式,变成另一个近似等式。

图片

查看答案

图片

题干中,之所以要强调“近似等式”,是因为π是无理数,并不能表示成两个整数之比的形式,虽然我们常用形如22/7的分数去近似表示π,但实际上π是无限不循环小数

不过,每一个无理数都可以用连续分数的形式来表示,π也不例外,比如:

图片

在任意一点截断,都能得到一个π的近似值,如果我在第二行截断,那就能得到22/7;如果我在第四行截断,就能得到355/113。

之所以指出这两个值,是因为它们作为圆周率的近似值,在历史上曾大放异彩。

公元前250年,阿基米德在他的论文《圆的度量》中提出:

图片

他使用的,是割圆法:

图片

割圆法示意图,来源[1]

圆的周长,介于它的外切多边形和内接多边形之间,当我们不断增加多边形的边数时,可以不断缩小之间的周长差,于是通过计算多边形的周长,就能得到具有一定精度的π值上下限。

而在古代中国,我们对圆周率的探索,也源来已久。

在我国最古老的天文学和数学著作《周髀算经》 中,有这样一句话:“数之法出于圆方”,三国时期的数学家赵爽对其注释为:“圆径一而周三”,意思是直径为1的圆,周长大约是3。

可见,在当时,我们使用的圆周率粗估值是3

公元462年,祖冲之在《缀术》中记载了他计算得出的圆周率近似值355/113,其展开成小数的值是3.1415929203...

在之后近800年的时间内,这都是准确度最高的π估算值。

其实,圆周率的估算,在古代有着很直接的现实意义。

例如,当时不论是普通百姓,还是皇室贵族,都十分关心着一件事:什么时候会降雨、降雨量如何。

为此,朝廷官员需要修订历法,里面就涉及了圆周计算,如果π的近似值误差较大,就不能准确预知一年四季,最后直接影响整个国家的民生大计

而355/113的精确程度,可以举例来具体感受一下:

假设一个圆的直径是10000米,那用它计算出的圆周长与真值相比,仅仅多了不到3毫米!

因此,祖冲之的这一成就,不论是对当时的黎民百姓,还是对后世的研究进展,都可谓是意义重大。

4

随机抛针得π

既然今天是国际π日,我们不妨一边吃派,一边玩个小游戏。

在纸上画满相距4厘米的平行线,找来n根2厘米长的牙签,随机地抛在纸上,最后统计牙签与平行线相交的次数k,计算n/k的值。

图片

随机抛掷

统计后发现,n/k的值与圆周率π十分接近!

这,其实就是著名的蒲丰实验。

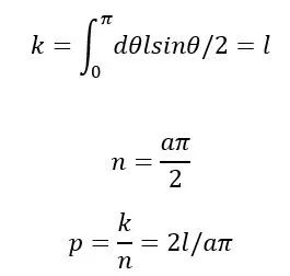
假设有一组距离为a的平行线,投掷的牙签长为l,牙签与直线相交的概率,可以这样简单计算:

图片

简易示意图

假设牙签AD与直线MN相交,B是牙签的中点,牙签与直线的夹角为θ,B点到直线MN的垂直距离为s,则需要满足s≤lsinθ/2,牙签才会和直线相交。

牙签与直线MN相交的角度θ变化范围是0~π,s的变化范围是0~a/2,简单画出示意图如下:

图片

示意图中的曲线是s= lsinθ/2,则阴影部分代表着牙签与直线相交的情况,这个矩形面积代表着投掷总次数,所以相交概率可以这样计算:

图片

在上述小游戏中,我们选择了参数a=2l,因此,正好得到n/k=π。

理论上而言,随着投掷的次数增加,就可以得到越来越准确的π值,历史上也有不少人曾经进行过这个实验

图片

部分历史实验数据表格,来源[2]

如果仔细观察,就可以发现,π值的精确度似乎并不和投掷次数成正比。

鲁道夫投掷了5000次,拉兹里尼只投掷了3408次,但得到的π值,却比鲁道夫精确很多。

对此,有不少学者曾经怀疑拉兹里尼的数据造假。

但实际上,这个投掷实验还涉及到最优停止问题:究竟投到多少次停止,才能获得较优解。

撇开这些不论,蒲丰实验是第一个用几何形式表达概率问题的例子,首次使用了随机实验处理确定性的数学问题,这不仅是蒙特卡洛方法的雏形,也促进了积分几何学的诞生

可别忘了,这一切的开端,都源于我们想要求出π值。

冥冥之中,似乎有什么在牵引着我们,在不断探索圆周率的过程中,我们触碰到了,更广袤无垠的世界。

5

超算热身操

我们对圆周率的探索,跨越了几千年,从未停止。当我们拨动时针,快进到这个时代,圆周率的故事,有了新的参与者:

超级计算机。

2021 年8月,瑞士的科学家刷新世界纪录,使用超级计算机,将圆周率计算到了小数点后的 62.8 万亿位,耗时108天零9小时。

没想到,仅仅过了半年多的时间,纪录又被打破了!

2022 年 3 月, Google Cloud将小数点后的 100 万亿位数都给计算了出来,共计用了不到 158 天的时间,而第100万亿位,恰好是0。

图片

圆周率小数点后100万亿位的最后100位数,来源[3]

事实上,如果从实际测量的角度而言,圆周率π值精确到39位时,就可以将可观测宇宙的圆周计算,精确到一个原子大小,这已经能够满足目前绝大多数宇宙学的计算需求了。

既然如此,计算上万亿的小数点位数,究竟有什么意义?

你有没有想过,超算发展如此快速,但我们要用什么方法,去检验超算的可靠性、精确度和运算速度等一系列指标?

这时候,就轮到π登场了!

用超级计算机去计算多位π值,是目前用于检验计算机性能和改善计算方法的常用方法。

就像我们不断刷新登顶珠穆朗玛峰的纪录一样,作为一台超级计算机,π值,则是它们需要攀登的高峰。

简单说来,首先要将π值计算程序用于一台能正常工作的超算上,进行多次实验,确认程序没有问题;

接着将这程序用于测试机,如果测试机在计算圆周率的时候出错了,就说明这台超算的硬件是有问题的,需要进一步检查调整。

这样看来,无穷无尽的圆周率,大概是超级计算机的热身操

当某台超级计算机刷新π值的世界纪录后,热身结束,接下来,就是在其他各个研究领域,一展芳华。

6

宇宙密码

《三体》中,杨冬在自杀前问:“大自然真是自然的吗?”

而卡尔·萨根,则在小说《接触未来》中暗示,宇宙的创造者,在π的数字中,暗藏了一则信息

所以,对于很多π迷而言,大自然可能并不自然,而终极密码,也许就藏在π中

例如,质子和电子的质量比大约是1836,恰好等于6π5的取整值。

等等,这真的只是巧合吗?

基本粒子的内禀特性,会不会与宇宙中的某种几何特征,息息相关?

对于这个说法,至今没有什么理论依据,而且大概率很有可能,就只是巧合...

相比之下,更加有意思的一点是,π2的值和重力加速度g的数值十分接近

图片

这可不是巧合!这都和长度单位m的定义有关。

1660年,伦敦皇家学会提出,在地球表面摆长约一米的单摆,一次摆动的时间大约是一秒。

也就是说,对于长度m的最初定义是:一次摆动时间为 1s 的单摆的长度

我们来观察一下单摆的周期公式:

图片

由于T描述的是完成一次往返摆动的时间,所以我们代入T=2s,忽略单位,简单变形可以得到:

图片

由于我们定义了这时候的单摆长度L是1m,就可以得到,π2和g的数值相等!

也就是说,在最开始的时候,π2=g。

后来,我们对单位长度m的定义不断调整,导致数值有了变化,但差距并不大,所以现在的π2也就和重力加速度g的数值十分接近,但并不完全相等了。

除此之外,π还出现在各色各样的物理世界中:

图片

精细结构常数

图片

海森堡不确定性原理

图片

麦克斯韦速率分布函数

事实上,不仅仅是各种物理公式中有π,我们的日常生活,也和圆周率息息相关。

《疑犯追踪》中,就有一段很耐人寻味的片段,值得我们细细感悟。

图片

现在,吃着3.14元的派。

再来仔细回味一下,π的魔力。

它是无理数,无限不循环;

它还是超越数,不是任何一个有理数系数多项式的根。

它包含着,宇宙中所有无限的可能。

所以,举派求婚的含义是..

《以π为名》

喜欢你,

不知从何而起,

超越一切,

无穷无尽,

奔向你。

原来如此!

愣着干嘛,怎么还在吃派!

说你呢!

还不抓紧时间,举派去表白!

哦,对啦!

记得悄悄讨论一下:

大自然,真是自然的吗?

参考文献:

[1]维基百科:圆周率

[2]《π的密码》

[3]Google Cloud Blog

编辑:穆勒家保姆

内容来自:中科院物理所

评论
云南医药张泽涛
贡士级
2023-03-16
科普-杨惠敏
举人级
2023-03-16
吴爱爱
大学士级
2023-03-17